成人片

成人片公告
您当前所在位置是: 主页 >> 成人片公告 >> 正文
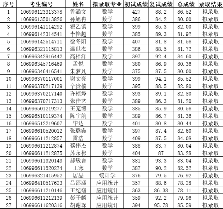
成人片 2026年硕士研究生拟录取名单公示
浏览量:

     现将成人片 2026年硕士研究生招生考试拟录取名单公示如下:


    公示时间7个工作日,若对拟录取情况有异议,请于公示期内与成人片 相关人员进行联系。

    咨询电话:029-88431694

    咨询邮箱:xuanwang@chengrenp.org


成人片

2026年4月1日